当前你的浏览器版本过低,网站已在兼容模式下运行,兼容模式仅提供最小功能支持,网站样式可能显示不正常。
请尽快升级浏览器以体验网站在线编辑、在线运行等功能。

建议使用的浏览器:

谷歌Chrome 火狐Firefox Opera浏览器 微软Edge浏览器 QQ浏览器 360浏览器 傲游浏览器

1539:15电商-Java(第一题)

题目描述

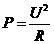
物理中求功率的公式有很多,请用已给的数据,带入下面的公式求功率;


输入解释

输入两个整型R

输出解释

输出功率P

截位保留两位小数

输入样例
5 9
输出样例
2.77

该题目包含在题集 SSPU

题目来源 sspu

共提交 356

通过率 40.17%
时间上限 内存上限
1000 MS 128 MB