当前你的浏览器版本过低,网站已在兼容模式下运行,兼容模式仅提供最小功能支持,网站样式可能显示不正常。
请尽快升级浏览器以体验网站在线编辑、在线运行等功能。

建议使用的浏览器:

谷歌Chrome 火狐Firefox Opera浏览器 微软Edge浏览器 QQ浏览器 360浏览器 傲游浏览器

1479:8.10(代数方面:二次方程式)

题目描述

为二次方程式设计一个名为QuadraticEquation的类。这个类包括:

代表三个系数的私有数据域a、b和c。

一个参数为a、b和c的构造方法。

a、b和c的三个get方法。

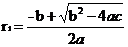
一个名为getDiscriminant()的方法返回判别式,

一个名为getRoot1()和getRoot2()的方法返回等式的两个根:

           and 

这些方法只有在判别式为非负数时才有用。如果判别式为负,这些方法返回0。

画出该类的UML图。实现这个数。编写一个测试程序,提示用户输入a、b和c的值,然后显示判别式的结果。如果判别式为正数,显示两个根:如果判别式为0,显示一个根,否则,显示“The equation has no roots.”(这个方程无根)。

输入解释
输入a,b,c
输出解释

输出结果


输入样例
1 5 3
输出样例
The roots are -0.697224 and -4.302776
提示
同3.1

该题目包含在题集 SSPU

题目来源 sspu

共提交 150

通过率 70.0%
时间上限 内存上限
1000 MS 128 MB