当前你的浏览器版本过低,网站已在兼容模式下运行,兼容模式仅提供最小功能支持,网站样式可能显示不正常。
请尽快升级浏览器以体验网站在线编辑、在线运行等功能。

建议使用的浏览器:

谷歌Chrome 火狐Firefox Opera浏览器 微软Edge浏览器 QQ浏览器 360浏览器 傲游浏览器

1613:历届试题 公式求值

题目描述
  输入n, m, k,输出下面公式的值。



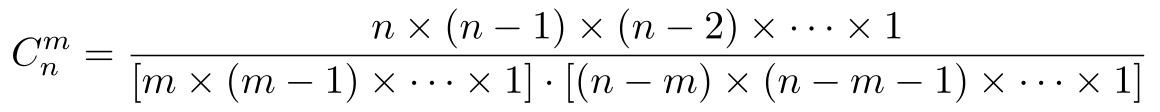
其中C_n^m是组合数,表示在n个人的集合中选出m个人组成一个集合的方案数。组合数的计算公式如下。
    

输入解释
  输入的第一行包含一个整数n;第二行包含一个整数m,第三行包含一个整数k。
输出解释
  计算上面公式的值,由于答案非常大,请输出这个值除以999101的余数。
输入样例
样例输入1
3
1
3

样例输入2
20
10
10
输出样例
样例输出1
162

样例输出2
359316
提示
数据规模和约定
对于10%的数据,n≤10,k≤3;
对于20%的数据,n≤20,k≤3;
对于30%的数据,n≤1000,k≤5;
对于40%的数据,n≤10^7,k≤10;
对于60%的数据,n≤10^15,k ≤100;
对于70%的数据,n≤10^100,k≤200;
对于80%的数据,n≤10^500,k ≤500;
对于100%的数据,n在十进制下不超过1000位,即1≤n<10^1000,1≤k≤1000,同时0≤m≤n,k≤n。
提示
999101是一个质数;

当n位数比较多时,绝大多数情况下答案都是0,但评测的时候会选取一些答案不是0的数据;


OJ注:

该题到标程验证数据,题目数据可能有错误。


该题目包含在题集 历届试题

题目来源 蓝桥杯

共提交 130

通过率 43.08%
时间上限 内存上限
1000 MS 128 MB